PTO- 2194
Approved for use through 03/31/2024. OMB 0651-0054
U.S. Patent and Trademark Office; U.S. DEPARTMENT OF COMMERCE
Under the Paperwork Reduction Act of 1995, no persons are required to respond to a collection of information unless it contains a valid OMB control number

Petition To Revive Abandoned Application - Failure To Respond Timely To Office Action


The table below presents the data as entered.

Input Field
Entered
SERIAL NUMBER90193700
LAW OFFICE ASSIGNEDLAW OFFICE 118
DATE OF NOTICE OF ABANDONMENT08/20/2021
PETITION
PETITION STATEMENT Applicant has firsthand knowledge that the failure to respond to the Office Action by the specified deadline was unintentional, and requests the USPTO to revive the abandoned application.
RESPONSE TO OFFICE ACTION
MARK SECTION
MARK mark
LITERAL ELEMENT PALADAR
STANDARD CHARACTERS YES
USPTO-GENERATED IMAGE YES
MARK STATEMENT The mark consists of standard characters, without claim to any particular font style, size or color.
EVIDENCE SECTION
        EVIDENCE FILE NAME(S)
       ORIGINAL PDF FILEevi_1-726819583-202109051 35607644410_._Argument__P ALADAR__Serial_No._901937 00_.pdf
       CONVERTED PDF FILE(S)
       (3 pages)
\\TICRS\EXPORT18\IMAGEOUT 18\901\937\90193700\xml7\ POA0002.JPG
       \\TICRS\EXPORT18\IMAGEOUT 18\901\937\90193700\xml7\ POA0003.JPG
       \\TICRS\EXPORT18\IMAGEOUT 18\901\937\90193700\xml7\ POA0004.JPG
       ORIGINAL PDF FILEevi_1-726819583-202109051 35607644410_._PALADAR___P ALATE_VODKA_-_Consent_Agr eement.pdf
       CONVERTED PDF FILE(S)
       (8 pages)
\\TICRS\EXPORT18\IMAGEOUT 18\901\937\90193700\xml7\ POA0005.JPG
       \\TICRS\EXPORT18\IMAGEOUT 18\901\937\90193700\xml7\ POA0006.JPG
       \\TICRS\EXPORT18\IMAGEOUT 18\901\937\90193700\xml7\ POA0007.JPG
       \\TICRS\EXPORT18\IMAGEOUT 18\901\937\90193700\xml7\ POA0008.JPG
       \\TICRS\EXPORT18\IMAGEOUT 18\901\937\90193700\xml7\ POA0009.JPG
       \\TICRS\EXPORT18\IMAGEOUT 18\901\937\90193700\xml7\ POA0010.JPG
       \\TICRS\EXPORT18\IMAGEOUT 18\901\937\90193700\xml7\ POA0011.JPG
       \\TICRS\EXPORT18\IMAGEOUT 18\901\937\90193700\xml7\ POA0012.JPG
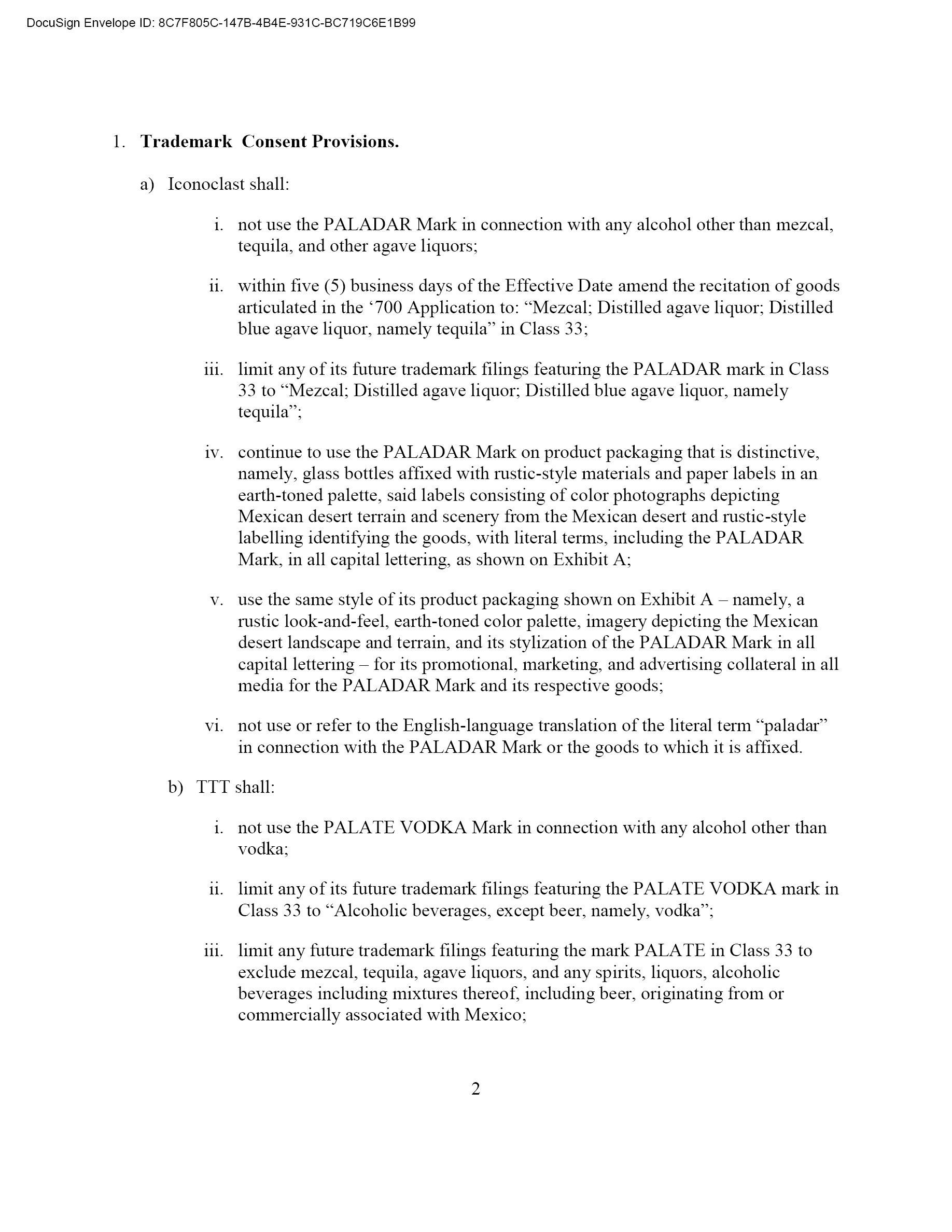
DESCRIPTION OF EVIDENCE FILEapplicant's response to the refusal to register; applicant's and the cited registrant's executed Consent Agreement and that agreement's Exhibit A
GOODS AND/OR SERVICES SECTION (current)
INTERNATIONAL CLASS033
DESCRIPTION
Mezcal; Distilled spirits; Distilled spirits produced in Mexico in accordance with specific standards; Alcoholic mixed beverages except beers; Distilled agave liquor; Distilled blue agave liquor; Prepared cocktails consisting primarily of distilled spirits and also including beer
FILING BASISSection 1(b)
GOODS AND/OR SERVICES SECTION (proposed)
INTERNATIONAL CLASS033
TRACKED TEXT DESCRIPTION
Mezcal; Distilled spirits; Distilled agave liquor; Distilled spirits produced in Mexico in accordance with specific standards; Distilled blue agave liquor, namely tequila; Alcoholic mixed beverages except beers; Distilled blue agave liquor; Prepared cocktails consisting primarily of distilled spirits and also including beer
FINAL DESCRIPTION
Mezcal; Distilled agave liquor; Distilled blue agave liquor, namely tequila
        WEBPAGE URL None Provided
        WEBPAGE DATE OF ACCESS None Provided
FILING BASISSection 1(b)
ADDITIONAL STATEMENTS SECTION
TRANSLATION The English translation of PALADAR in the mark is palate.
CORRESPONDENCE INFORMATION (current)
NAMEM.J. Williams
PRIMARY EMAIL ADDRESS FOR CORRESPONDENCEmjwilliams@mjw-law.com
SECONDARY EMAIL ADDRESS(ES) (COURTESY COPIES)nate@drifterspirits.com
CORRESPONDENCE INFORMATION (proposed)
NAMEM.J. Williams
PRIMARY EMAIL ADDRESS FOR CORRESPONDENCEmjwilliams@mjw-law.com
SECONDARY EMAIL ADDRESS(ES) (COURTESY COPIES)nate@drifterspirits.com
PAYMENT SECTION
PETITION TO REVIVE (INCLUDING A PETITION TO DIRECTOR USED SOLELY AS A PETITION TO REVIVE)150
ADDITIONAL FEE FOR APPLICATION NOT MEETING TEAS PLUS FILING REQUIREMENTS PER CLASS100
NUMBER OF CLASSES1
TOTAL FEES DUE250
SIGNATURE SECTION
PETITION SIGNATURE /Nathan Whitehouse/
SIGNATORY'S NAME Nathan Whitehouse
SIGNATORY'S POSITION Principal
SIGNATORY'S PHONE NUMBER 2024920750
DATE SIGNED 09/05/2021
SIGNATURE METHOD Sent to third party for signature
RESPONSE SIGNATURE/Nathan Whitehouse/
SIGNATORY'S NAME Nathan Whitehouse
SIGNATORY'S POSITION Owner
SIGNATORY'S PHONE NUMBER 2024920750
DATE SIGNED 09/05/2021
ROLE OF AUTHORIZED SIGNATORY Authorized U.S.-Licensed Attorney
SIGNATURE METHOD Signed directly within the form
FILING INFORMATION SECTION
SUBMIT DATE Sun Sep 05 15:05:17 ET 2021
TEAS STAMP USPTO/POA-XX.XX.XXX.XX-20
210905150517194522-901937
00-781e43ebe8f67768e87958
ac7efbb296cbf38c86c15d7f8
2d4f4bf52c74f82d5e-CC-051
31669-2021090513560764441
0



PTO- 2194
Approved for use through 03/31/2024. OMB 0651-0054
U.S. Patent and Trademark Office; U.S. DEPARTMENT OF COMMERCE
Under the Paperwork Reduction Act of 1995, no persons are required to respond to a collection of information unless it contains a valid OMB control number

Petition To Revive Abandoned Application - Failure To Respond Timely To Office Action

To the Commissioner for Trademarks:

Application serial no. 90193700 PALADAR(Standard Characters, see https://tmng-al.uspto.gov/resting2/api/img/90193700/large) has been amended as follows:

PETITION
Petition Statement
Applicant has firsthand knowledge that the failure to respond to the Office Action by the specified deadline was unintentional, and requests the USPTO to revive the abandoned application.

RESPONSE TO OFFICE ACTION

EVIDENCE
Evidence has been attached: applicant's response to the refusal to register; applicant's and the cited registrant's executed Consent Agreement and that agreement's Exhibit A
Original PDF file:
evi_1-726819583-202109051 35607644410_._Argument__P ALADAR__Serial_No._901937 00_.pdf
Converted PDF file(s) ( 3 pages) Evidence-1Evidence-2Evidence-3
Original PDF file:
evi_1-726819583-202109051 35607644410_._PALADAR___P ALATE_VODKA_-_Consent_Agr eement.pdf
Converted PDF file(s) ( 8 pages) Evidence-1Evidence-2Evidence-3Evidence-4Evidence-5Evidence-6Evidence-7Evidence-8

CLASSIFICATION AND LISTING OF GOODS/SERVICES

Applicant proposes to amend the following:

Current:
Class 033 for Mezcal; Distilled spirits; Distilled spirits produced in Mexico in accordance with specific standards; Alcoholic mixed beverages except beers; Distilled agave liquor; Distilled blue agave liquor; Prepared cocktails consisting primarily of distilled spirits and also including beer
Filing Basis: Section 1(b), Intent to Use: For a trademark or service mark application: As of the application filing date, the applicant had a bona fide intention, and was entitled, to use the mark in commerce on or in connection with the identified goods/services in the application. For a collective trademark, collective service mark, or collective membership mark application: As of the application filing date, the applicant had a bona fide intention, and was entitled, to exercise legitimate control over the use of the mark in commerce by members on or in connection with the identified goods/services/collective membership organization. For a certification mark application: As of the application filing date, the applicant had a bona fide intention, and was entitled, to exercise legitimate control over the use of the mark in commerce by authorized users in connection with the identified goods/services, and the applicant will not engage in the production or marketing of the goods/services to which the mark is applied, except to advertise or promote recognition of the certification program or of the goods/services that meet the certification standards of the applicant.


Proposed:

Tracked Text Description: Mezcal; Distilled spirits; Distilled agave liquor; Distilled spirits produced in Mexico in accordance with specific standards; Distilled blue agave liquor, namely tequila; Alcoholic mixed beverages except beers; Distilled blue agave liquor; Prepared cocktails consisting primarily of distilled spirits and also including beer

Class 033 for Mezcal; Distilled agave liquor; Distilled blue agave liquor, namely tequila
Filing Basis: Section 1(b), Intent to Use: For a trademark or service mark application: As of the application filing date, the applicant had a bona fide intention, and was entitled, to use the mark in commerce on or in connection with the identified goods/services in the application. For a collective trademark, collective service mark, or collective membership mark application: As of the application filing date, the applicant had a bona fide intention, and was entitled, to exercise legitimate control over the use of the mark in commerce by members on or in connection with the identified goods/services/collective membership organization. For a certification mark application: As of the application filing date, the applicant had a bona fide intention, and was entitled, to exercise legitimate control over the use of the mark in commerce by authorized users in connection with the identified goods/services, and the applicant will not engage in the production or marketing of the goods/services to which the mark is applied, except to advertise or promote recognition of the certification program or of the goods/services that meet the certification standards of the applicant.

Webpage URL: None Provided
Webpage Date of Access: None Provided


ADDITIONAL STATEMENTS
Translation
The English translation of PALADAR in the mark is palate.

Correspondence Information (current):
      M.J. Williams
      PRIMARY EMAIL FOR CORRESPONDENCE: mjwilliams@mjw-law.com
      SECONDARY EMAIL ADDRESS(ES) (COURTESY COPIES): nate@drifterspirits.com

Correspondence Information (proposed):
      M.J. Williams
      PRIMARY EMAIL FOR CORRESPONDENCE: mjwilliams@mjw-law.com
      SECONDARY EMAIL ADDRESS(ES) (COURTESY COPIES): nate@drifterspirits.com

Requirement for Email and Electronic Filing: I understand that a valid email address must be maintained by the owner/holder and the owner's/holder's attorney, if appointed, and that all official trademark correspondence must be submitted via the Trademark Electronic Application System (TEAS).

FEE(S)
Fee(s) in the amount of $250 is being submitted.

SIGNATURE(S)

Signature: /Nathan Whitehouse/      Date: 09/05/2021
Signatory's Name: Nathan Whitehouse
Signatory's Position: Principal
Signatory's Phone Number: 2024920750


Response Signature
Signature: /Nathan Whitehouse/     Date: 09/05/2021
Signatory's Name: Nathan Whitehouse
Signatory's Position: Owner

Signatory's Phone Number: 2024920750 Signature method: Signed directly within the form

The signatory has confirmed that he/she is not represented by an authorized attorney, and that he/she is either: (1) the owner/holder; or (2) a person or persons with legal authority to bind the owner/holder; and if he/she had previously been represented by an attorney in this matter, either he/she revoked their power of attorney by filing a signed revocation with the USPTO or the USPTO has granted this attorney's withdrawal request.

Mailing Address:    M.J. Williams
   M.J. Williams Law
   
   11 Broadway, Suite 615
   New York, New York 10004
Mailing Address:    M.J. Williams
   M.J. Williams Law
   11 Broadway, Suite 615
   New York, New York 10004
        
PAYMENT: 90193700
PAYMENT DATE: 09/07/2021
        
Serial Number: 90193700
Internet Transmission Date: Sun Sep 05 15:05:17 ET 2021
TEAS Stamp: USPTO/POA-XX.XX.XXX.XX-20210905150517194
522-90193700-781e43ebe8f67768e87958ac7ef
bb296cbf38c86c15d7f82d4f4bf52c74f82d5e-C
C-05131669-20210905135607644410